3.3.3 不同結構受力的比較
1)不考慮環(huán)板質量的比較
表3.5給出了不同形式的平行軸擺線針輪減速的軸承最大載荷,其中三相是指相位差均等為120的三環(huán)平行軸擺線針輪減速器。由表和圖3.20可知:連桿式和皮帶式的輸入軸行星軸承的最大載荷比三相的大約7%,而連桿式與皮帶式非常接近;對于輸入軸箱體軸承的最大載荷,皮帶式的最大,比連桿式的高約25%,比三相高級我110%。由此可見連桿式平行軸擺線針輪減速的承載能力比皮帶式強,比三相的略優(yōu)。
表3.5 不同形式的平行軸擺線針輪減速的載荷比較
| 減速器形式 |
最大載荷 |
| 輸入軸行星軸承(N) |
從動軸行星軸承(N) |
輸入軸箱體軸承(N) |
從動軸箱體軸承(N) |
| 三相 |
10185.72 |
6292.31 |
5267.89 |
4293.04 |
| 連桿式 |
10882 |
8857.87 |
9080.51 |
6513 |
| 皮帶式 |
10880.06 |
8332.03 |
11319.29 |
10818.94 |
2)考慮環(huán)板質量的比較
由圖3.21圖3.22圖3.23及表3.6可知,考慮質量和慣性力,根據式(3-24)、(3-25)進行計算,對比忽略質量的計算結果,兩者相差很小,作者認為主要原因是質量太輕,對以動力傳動為主的場合可以忽略不計。
表3.6 不同形式的平行軸擺線針輪減速的載荷比較
| 減速器形式 |
最大載荷 |
| 輸入軸行星軸承(N) |
從動軸行星軸承(N) |
輸入軸箱體軸承(N) |
從動軸箱體軸承(N) |
| 三相 |
9916.58 |
6331.77 |
5170.19 |
4365.19 |
| 連桿式 |
10789.54 |
8844.66 |
8826.61 |
6170.28 |
| 皮帶式 |
10980.68 |
8187.99 |
10864.86 |
8801.93 |

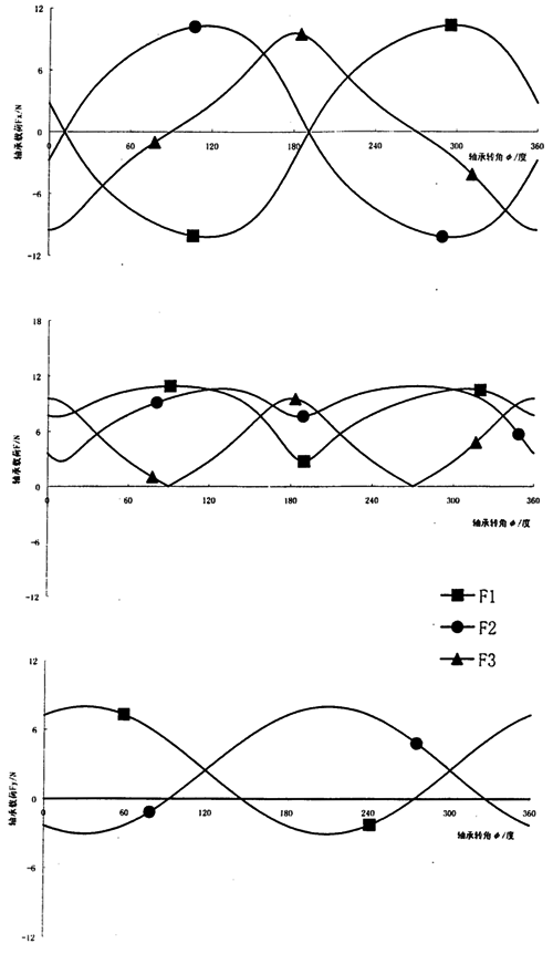
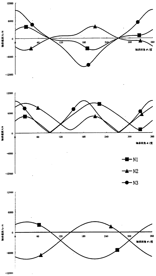
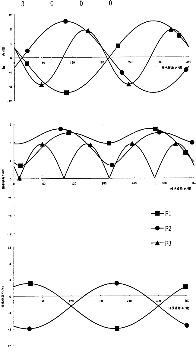
圖3.6 (連桿式)輸入軸環(huán)板行星軸承周期載荷

圖3.7 (連桿式)從動軸環(huán)板行星軸承周期載荷

圖3.8 (連桿式)輸入軸箱體軸承周期載荷

圖3.9 (連桿式)從動軸箱體軸承周期載荷

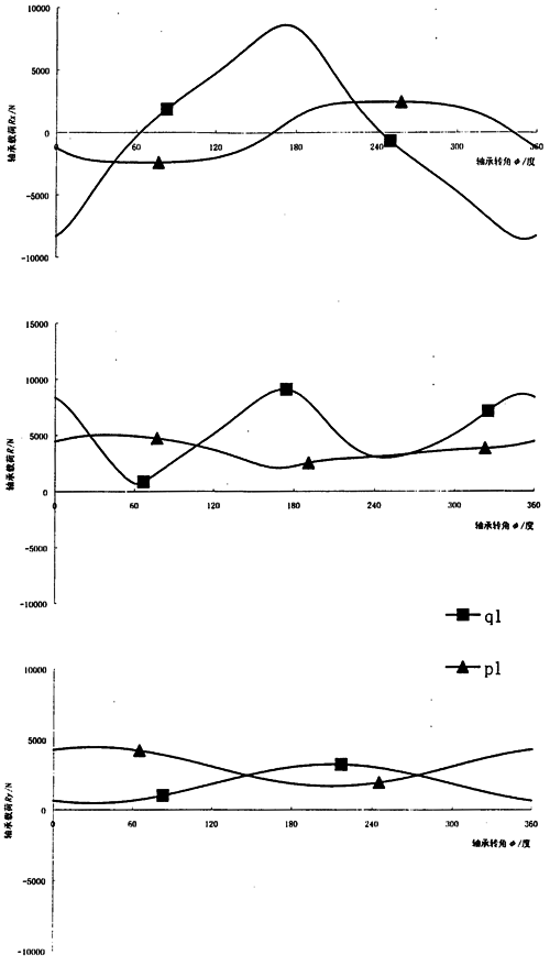
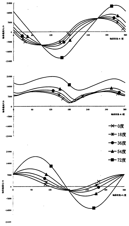
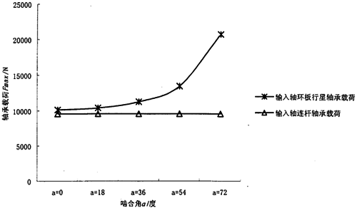
圖3.10 (連桿式)嚙合角對輸入軸環(huán)板行星軸承周期載荷的影響

圖3.11 (連桿式)偏心距對輸入軸環(huán)板行星軸承周期載荷的影響

圖3.12 (連桿式)嚙合角對軸承最大載荷的影響

圖3.13 (連桿式)偏心距與軸承最大載荷的關系

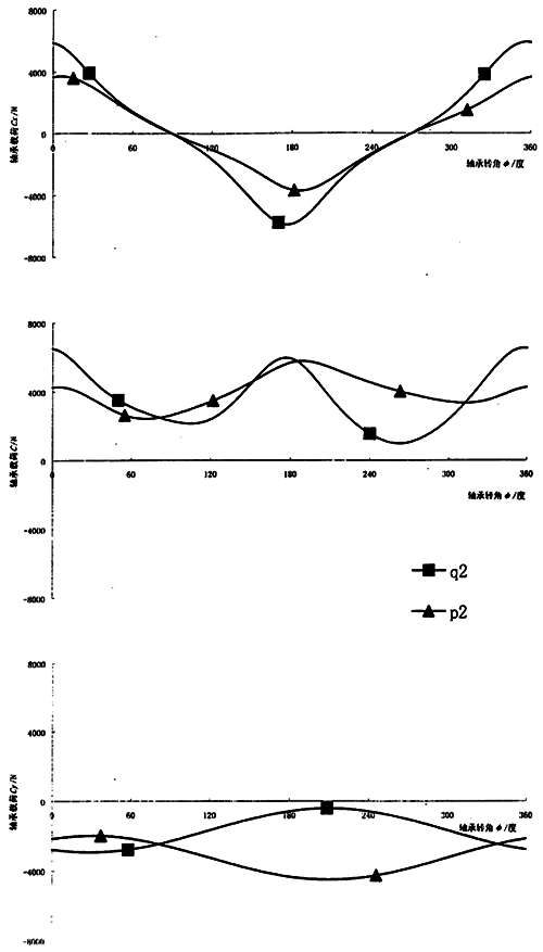
圖3.14 連桿相位角對輸入軸環(huán)板行星軸承周期載荷的影響

圖3.15 連桿相位角對輸入軸連桿軸承周期載荷的影響

圖3.16 連桿相位角與軸承最大載荷的關系

圖3.17 (皮帶式)輸入軸環(huán)板行星軸承的周期載荷

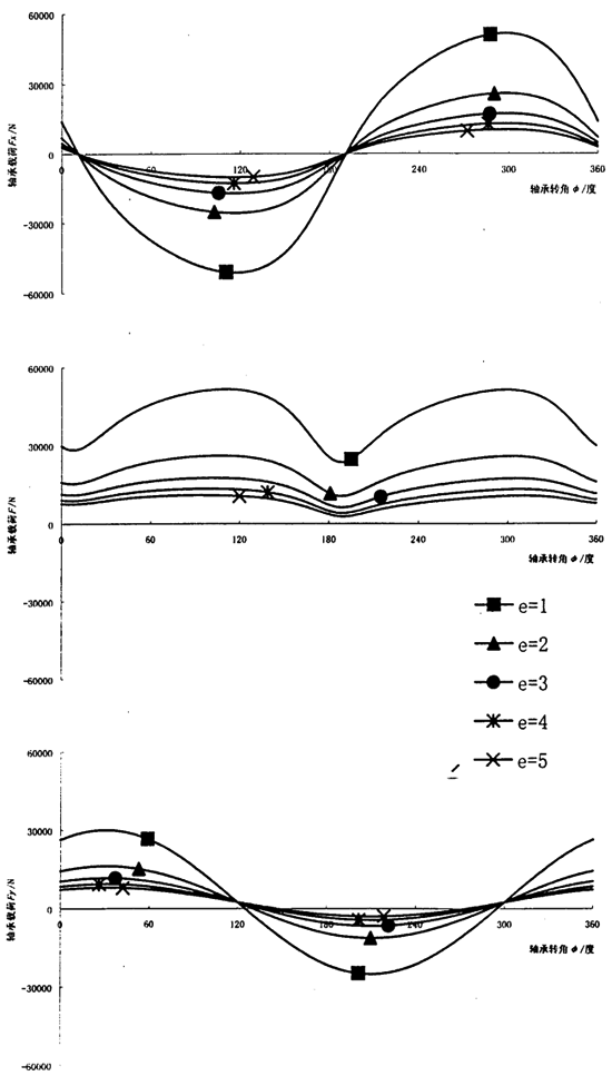
圖3.18 (皮帶式)嚙合角與軸承載荷的關系

圖3.19 (皮帶式)偏心距與軸承載荷的關系

圖2.20 三類減速器軸承載荷比較

圖2.21 (連桿式)考慮質量前后軸承載荷的比較

圖2.22 (皮帶式)考慮質量前后軸承載荷的比較

圖3.23 考慮質量時三類減速器軸承載荷比較
上一頁
下一頁